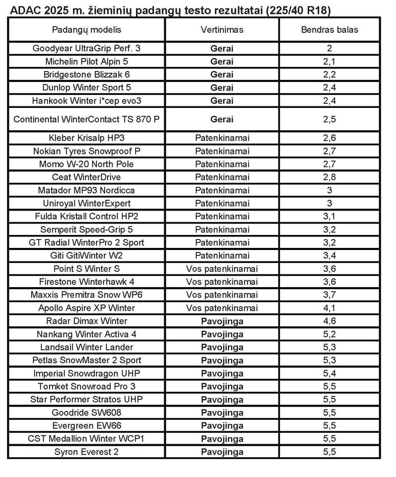
Šiemet bandymų metu išryškėjo akivaizdūs lyderiai, galintys užtikrinti maksimalų saugumą bet kokiomis sąlygomis. Tačiau tyrimas atskleidė ir nerimą keliančią tendenciją: beveik pusė iš 31 bandymuose testuotų padangų ADAC specialistai nerekomenduoja.
Daugiau patarimų vairuotojams – specialioje „Patarimai vairuotojams“ rubrikoje.
Geriausios 2025-ųjų žieminės padangos
Šiemet surengtuose ADAC žieminių padangų bandymuose, absoliučiu nugalėtoju tapo „Goodyear UltraGrip Performance 3“. Šis modelis užtikrino ne tik trumpiausią stabdymo kelią ant šlapios dangos, bet ir įspūdingą prognozuojamą ridą – net 76 000 km.
Nedaug nuo nugalėtojo atsiliko ir „Michelin Pilot Alpin 5“. Į geriausiųjų šešetą taip pat pateko „Bridgestone Blizzak 6“, „Dunlop Winter Sport 5“, „Hankook Winter i*cep evo3“ ir „Continental WinterContact TS 870 P“.
Ši dalyvių grupė, pasak ADAC ekspertų, yra patikimiausias ir saugiausias pasirinkimas vairuotojams, kurie reguliariai susiduria su sudėtingomis žiemos sąlygomis arba nori užtikrinti maksimalų saugumą.
Patenkinami vidutiniokai
Už lyderių šešeto rikiuojasi didelė grupė padangų, kurios buvo įvertintos kaip „patenkinamos“. Nors jos neprilygsta lyderiams visose kategorijose, tačiau jos taip pat neturi ir ryškių saugumo trūkumų.
Iš šios grupės ADAC išskiria du biudžetinio segmento modelius, galinčius tapti protingu kompromisu tarp kainos ir saugumo – tai „Momo W-20 North Pole“ ir „Matador MP93 Nordicca“.
Kaip buvo atliekami bandymai?
Siekiant visapusiškai įvertinti padangų savybes, bandymai vyko trijose skirtingose šalyse: ant sausos dangos Italijoje, ant šlapios dangos ir ledo Vokietijoje bei ant sniego Suomijoje.
Galutinis įvertinimas sudarytas didžiausią svorį skiriant saugumo kriterijams (valdymas ir stabdymas ant sausos, šlapios, apsnigtos dangos bei ledo). Papildomai vertinti ir aplinkosauginiai aspektai: triukšmas, svoris, degalų sąnaudos ir prognozuojama rida (dilimas).
Juodasis sąrašas. Pavojingos padangos, kurių reikia vengti
Testas atskleidė milžiniškus saugumo skirtumus, ypač biudžetiniame segmente. Stabdant ant šlapios dangos važiuojant 80 km/val. greičiu, skirtumas tarp geriausios ir prasčiausios padangos buvo daugiau nei 15 metrų.
Tai reiškia, kad ten, kur automobilis su „Goodyear“ padangomis jau stovi, automobilis su „Syron“ padangomis vis dar lekia daugiau nei 45 km/val. greičiu.
Dėl prastų savybių ADAC nerekomenduoja 15 modelių. Iš jų keturi įvertinti kaip „vos patenkinami“:
- Apollo Aspire XP Winter
- Firestone Winterhawk 4
- Maxxis Premitra Snow WP6
- Point S Winter S
Dar vienuolika modelių gavo žemiausią, „pavojingos“ įvertinimą:
- CST Medallion Winter WCP1
- Evergreen EW66
- Goodride SW608
- Imperial Snowdragon UHP
- Landsail Winter Lander
- Nankang Winter Activa 4
- Petlas SnowMaster 2 Sport
- Star Performer Stratos UHP
- Syron Everest 2
- Tomket Snowroad Pro 3
- Radar Dimax Winter
Patiko straipsnis? Užsiprenumeruokite mūsų naujienlaiškį ir gaukite svarbiausias dienos naujienas bei įdomiausius straipsnius kiekvieną darbo dieną 11 val. Tiesiai į Jūsų el. paštą!


